Tags
- ๊ทธ๋ํ ์ด๋ก
- ๋๋น ์ฐ์ ํ์
- ๊น์ด ์ฐ์ ํ์
- CodingTest
- sort
- Study
- ์ ๋ ฌ
- PGM
- Python
- ๋ฐฑํธ๋ํน
- ๊ทธ๋ํ ํ์
- ๊ต์ฌ
- BFS
- ๋ฌธ์์ด
- stack
- ์ ์๋ก
- BOJ
- SpringBoot
- ์ํ
- ๊ตฌํ
- dfs
- Brute Force Algorithm
- Java
- DP
- LV2
- ์๋ฎฌ๋ ์ด์
- greedy
- Dynamic Programming
- ์๋ฃ๊ตฌ์กฐ
- queue
Archives
๊ธฐ๋ก๋ฐฉ
Lv.2 : ํ๋ ฌ์ ๊ณฑ์ ๋ณธ๋ฌธ
ํ๋ก๊ทธ๋๋จธ์ค
์ฝ๋ ์ค์ฌ์ ๊ฐ๋ฐ์ ์ฑ์ฉ. ์คํ ๊ธฐ๋ฐ์ ํฌ์ง์ ๋งค์นญ. ํ๋ก๊ทธ๋๋จธ์ค์ ๊ฐ๋ฐ์ ๋ง์ถคํ ํ๋กํ์ ๋ฑ๋กํ๊ณ , ๋์ ๊ธฐ์ ๊ถํฉ์ด ์ ๋ง๋ ๊ธฐ์ ๋ค์ ๋งค์นญ ๋ฐ์ผ์ธ์.
programmers.co.kr

๐ธ ๋ฌธ์ ๋ถ์ ๐ธ
- ๋ 2์ฐจ์ ํ๋ ฌ์ ๊ณฑ์ ๊ตฌํํ๋ ๋ฌธ์ ์ด๋ค.
๐ธ ๋ฌธ์ ํ์ด ๐ธ
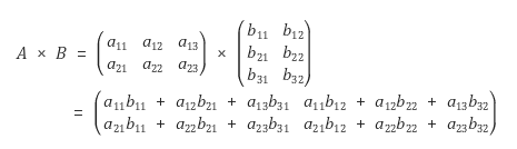
- ํ๋ ฌ๊ณฑ ์๋ฆฌ๋ ๋ค์๊ณผ ๊ฐ๋ค.
- ์ ํ๋ ฌ์ ๊ฐ๋ก ๊ธธ์ด(์ด์ ๊ธธ์ด)์ ๋ท ํ๋ ฌ์ ์ธ๋ก ๊ธธ์ด(ํ์ ๊ธธ์ด)๊ฐ ๊ฐ์์ผ ๊ณฑ์ด ๊ฐ๋ฅํ๋ค.
- ๊ณ์ฐ ๊ฒฐ๊ณผ ํ๋ ฌ์ ์ ํ๋ ฌ์ ์ธ๋ก ๊ธธ์ด x ๋ท ํ๋ ฌ์ ๊ฐ๋ก ๊ธธ์ด ์ด๋ค.
- ๊ณ์ฐ ๋ฐฉ๋ฒ์ ๋ค์๊ณผ ๊ฐ๋ค.

๐ธ ์ฝ๋ ๐ธ
class Solution {
public int[][] solution(int[][] arr1, int[][] arr2) {
int row = arr1.length;
int col = arr2[0].length;
int[][] answer = new int[row][col];
for(int r = 0; r < row; r++) {
for(int c = 0; c < col; c++) {
int sum = 0;
for(int i = 0; i < arr1[0].length; i++) {
sum += arr1[r][i] * arr2[i][c];
}
answer[r][c] = sum;
}
}
return answer;
}
}
๐ธ ์ฝ๋ ํด์ ๐ธ
- ๊ฒฐ๊ณผ ํ๋ ฌ์ ํ๋ ฌ์ row์ col๋ก ์ ์ฅํ๊ณ ์ฌ์ฉํ๋ค.
- row์ col๋งํผ ์ธ๋ฑ์ค๋ฅผ ์ฎ๊ฒจ๊ฐ๋ฉฐ ๊ฒฐ๊ณผ ํ๋ ฌ์ ์ฑ์๊ฐ๋ค.
- ์ ํ๋ ฌ arr1์ ๊ฐ๋ก๋ก, ๋ท ํ๋ ฌ arr2๋ ์ธ๋ก๋ก ์์ง์ด๋ฉฐ ๊ณฑ์ ๊ณ์ฐํ๋ค.
- ์์์ ๊ตฌํ row, col์ด ์๋ arr1์ ๊ฐ๋ก ๊ธธ์ด(๋ ํ๋ ฌ์ด ๊ณฑ ๊ณ์ฐ์ด ๊ฐ๋ฅํ๋ ค๋ฉด ๊ฐ์์ผ ํ๋ ๊ฐ)๋งํผ ์์ง์ธ ๋ค๋ ๊ฒ์ ์ ์ํ๋ค.
๐ธ end ๐ธ
- ํ๋ ฌ ๊ณฑ ์์ฒด์ ๋ํ ์ง์์ด ๋ถ์กฑํด์ ์ํ ์ด๋ก ์ ๋จผ์ ์์๋ด์ผ ํ๋ค. ๊ฐ๋จํ ์๋ฆฌ์ธ๋ฐ ๊ณ ๋ฑํ๊ต ๊ต๊ณผ ๊ณผ์ ์ ๋น ์ก์๋ ์กธ์ ํด์ ๋ฐ๋ก ๊ณต๋ถํ์ง ์์์ผ๋ ๋ชจ๋ฅด๊ณ ์์๋ค.
- ๊ฒฐ๊ณผ ํ๋ ฌ์ ๊ฐ์ ๊ณ์ฐํ ๋ rowํน์ col๋งํผ ๋ฐ๋ณตํด์ ๋ํ๋ ค๋ค ์ธ๋ฑ์ค ๋ฒ์ด๋จ ์ค๋ฅ๊ฐ ๋ฌ๋ค.
- ์ฝ๋ ํด์ ๋ง์ง๋ง ์ค์ ์๋ ๊ฒ ์ฒ๋ผ ์ ํ๋ ฌ์ ๊ฐ๋ก ๊ธธ์ด๋งํผ ๋ฐ๋ณตํ์ด์ผ ํ๋ค.
- ๋ค๋ฅธ ์ฌ๋๋ค์ ํ์ด๋ฅผ ๋ณด๋ sum ๋ณ์๋ ๋ฑํ ๋ง๋ค ํ์ ์์ด ๋ฐ๋ก answer์ ๋ฃ์ด๋ ๋์๋ค.
- ํ์์ ๋ฐฐ๊ฒฝ์ผ๋ก ๋ฐ๊ฟจ๋๋ฐ ๋์ด ๋ ํธ์ํด์ ธ์ ๋น๋ถ๊ฐ ์ด๋ ๊ฒ ์ธ ์์ ์ด๋ค.

728x90
'CodingTest > Java' ์นดํ ๊ณ ๋ฆฌ์ ๋ค๋ฅธ ๊ธ
| BOJ_1418 : K-์ธ์ค์ (0) | 2023.11.01 |
|---|---|
| Lv.2 : [1์ฐจ] ์บ์ (0) | 2023.11.01 |
| Lv.2 : ํ ์ธ ํ์ฌ (0) | 2023.10.01 |
| Lv.2 : n^2 ๋ฐฐ์ด ์๋ฅด๊ธฐ (0) | 2023.09.23 |
| Lv.2 : ์ฐ์ ๋ถ๋ถ ์์ด ํฉ์ ๊ฐ์ (0) | 2023.09.22 |